快手怎么发布作品
1、打开手机,点击进入快手软件。

2、进入快手之后,点击进入右上角的拍摄图标。

3、进入拍摄之后,点击进入右下角的相册。

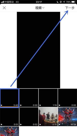
4、进入相册后选中自己要上传的视频,点击下一步。

5、最后点击页面下方的发布就可以了。

KFRQ资源站版权声明:以上内容作者已申请原创保护,未经允许不得转载,侵权必究!授权事宜、对本内容有异议或投诉,敬请联系网站管理员,我们将尽快回复您,谢谢合作!
1、打开手机,点击进入快手软件。

2、进入快手之后,点击进入右上角的拍摄图标。

3、进入拍摄之后,点击进入右下角的相册。

4、进入相册后选中自己要上传的视频,点击下一步。

5、最后点击页面下方的发布就可以了。

KFRQ资源站版权声明:以上内容作者已申请原创保护,未经允许不得转载,侵权必究!授权事宜、对本内容有异议或投诉,敬请联系网站管理员,我们将尽快回复您,谢谢合作!